×
Close
Sign Up
Login
Home
SCI Abstract
Library D
Community
Events
Events & Partner
WeMed
Media Partners
Educational Partner
User Tools
FAQ/USER GUIDE
Language
English
中文/ Chinese
Contact Us
×
Close
mdla_1
mdla_2
mdla_3
mdla_4
mdla_5
mdla_6
Categories
Nanoscience & Nanotechnology
4781
Global Medical University
4859
Allergy
1448
Anatomy & Morphology
1366
Andrology
306
Anesthesia & Intensive Care
1238
Anesthesiology
5106
Audiology & Speech-Language Pathology
267
Behavioral Sciences
91
Biochemical Research Methods
6626
Biochemistry & Molecular Biology
28267
Biodiversity Conservation
296
Biology
7883
Biophysics
7890
Biotechnology & Applied Microbiology
7813
Cardiac & Cardiovascular Systems
29457
Cardiovascular & Respiratory Systems
1242
Cell & Tissue Engineering
668
Cell Biology
10250
Chemistry, Analytical
3730
Chemistry, Applied
10510
Chemistry, Medicinal
8234
Chemistry, Multidisciplinary
17297
Clinical Immunology & Infectious Disease
395
Clinical Medicine
7639
Clinical Neurology
15541
Clinical Psychology & Psychiatry
1215
Critical Care Medicine
3002
Dentistry, Oral Surgery & Medicine
12234
Dermatology
6446
Developmental Biology
6533
Ecology
570
Education, Scientific Disciplines
1873
Emergency Medicine
3780
Endocrinology, Metabolism & Nutrition
22770
Engineering, Biomedical
3523
Entomology
461
Environmental Medicine & Public Health
4422
Evolutionary Biology
247
Gastroenterology & Hepatology
11225
General & Internal Medicine
6555
Genetics & Heredity
14224
Geriatrics & Gerontology
4632
Gerontology
344
Health Care Sciences & Services
15081
Health Policy & Services
550
Hematology
5065
Immunology
23583
Infectious Diseases
13070
Integrative & Complementary Medicine
2757
Medical Ethics
1162
Medical Informatics
2139
Medical Laboratory Technology
361
Medicine, General & Internal
42013
Medicine, Legal
488
Medicine, Research & Experimental
16509
Microbiology
22080
Mycology
0
Neuroimaging
1281
Neurology
4083
Neurosciences
37848
Nursing
8626
Nutrition & Dietetics
7408
Obstetrics & Gynecology
7624
Oncology
48920
Ophthalmology
9101
Optics
3947
Orthopedics
10786
Orthopedics, Rehabilitation & Sports Medicine
1663
Otolaryngology
1392
Otorhinolaryngology
4472
Parasitology
1089
Pathology
4608
Pediatrics
20237
Peripheral Vascular Disease
4432
Pharmacology & Pharmacy
32809
Pharmacology/Toxicology
11586
Physiology
8351
Polymer Science
507
Primary Health Care
768
Psychiatry
18042
Psychology
4767
Psychology, Applied
91
Psychology, Biological
339
Psychology, Clinical
753
Psychology, Developmental
219
Psychology, Educational
139
Psychology, Experimental
149
Psychology, Mathematical
0
Psychology, Multidisciplinary
1572
Psychology, Psychoanalysis
29
Psychology, Social
111
Public Health & Health Care Science
2027
Public, Environmental & Occupational Health
25825
Quantum Science & Technology
0
Radiology, Nuclear Medicine & Imaging
11769
Radiology, Nuclear Medicine & Medical Imaging
7314
Rehabilitation
2679
Remote Sensing
0
Reproductive Biology
2713
Reproductive Medicine
1111
Research/Laboratory Medicine & Medical Technology
3817
Respiratory System
6674
Rheumatology
5397
Social Sciences, Biomedical
1091
Substance Abuse
2521
Surgery
32264
Toxicology
4030
Transplantation
821
Tropical Medicine
283
Urology & Nephrology
11872
Veterinary Sciences
28
Virology
2187
Zoology
0
Channels
INTERNATIONAL NANO LETTERS
67
Nanotechnology
21
ADVANCED HEALTHCARE MATERIALS
386
APPLIED NANOSCIENCE
810
ENVIRONMENTAL SCIENCE-NANO
601
INTERNATIONAL JOURNAL OF NANOMEDICINE
1152
NATURE REVIEWS MATERIALS
253
BEILSTEIN JOURNAL OF NANOTECHNOLOGY
297
IEEE TRANSACTIONS ON NANOBIOSCIENCE
195
ADVANCES IN NATURAL SCIENCES-NANOSCIENCE AND NANOTECHNOLOGY
173
INTERNATIONAL JOURNAL OF NANO DIMENSION
30
JOURNAL OF NANOANALYSIS
19
JOURNAL OF NANOSTRUCTURES
173
NANOMEDICINE JOURNAL
128
NANOTECHNOLOGIES IN RUSSIA
252
PHYSICS AND CHEMISTRY OF SOLID STATE
224
SCI Abstract
search
ALL
RECOMMENDED
+
Influence of dispersant-mixed TiO nanoparticles on stability and physicochemical properties of biodiesel blend
Biodiesel has gained great relevance in diesel engine applications in recent years owing to its economic and environmental...
International Nano Letters
comment
0
thumb_up
0
An overview of green methods for FeO nanoparticle synthesis and their applications
Nanoparticles received great attention during the last few decades due to their broad application in different fields. The...
International Nano Letters
comment
0
thumb_up
0
Biosynthesis and characterization of silver nanoparticles using , , and leaf extracts of and species
Silver nanoparticles (AgNPs) are used in many fields for various purposes, and the biosynthesis of AgNPs through biologica...
International Nano Letters
comment
0
thumb_up
0
Characterization of (Roxb.) R. Br. leaf extract and its silver nanoparticles reveal their antioxidative, anti-microbial, and anti-inflammatory properties
Nanotechnology is the integrative science in the field of physics, chemistry and biology. For the synthesis of silver nano...
International Nano Letters
comment
0
thumb_up
0
Graphitic carbon nitride (g-CN) based materials: current application trends in health and other multidisciplinary fields
Graphitic carbon nitride (g-C3N4) has a chemical composition of only carbon and nitrogen, having unique optoelectronic fea...
International Nano Letters
comment
0
thumb_up
0
Experimental data and development of Weibull distribution model for relative dynamic modulus profile of PMMA/TiO polymer nanocomposites
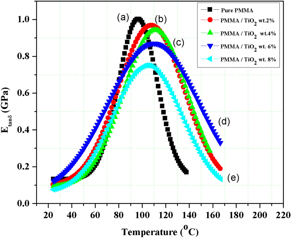
The study of relative dynamic modulus ( $$_}$$ ) profile, i.e., phase transition behavior of the polymers and their compos...
International Nano Letters
comment
0
thumb_up
0
Green synthesis of zinc oxide nanoparticles using leaf extract, characterization and antidiabetic activity
In this current investigation, zinc oxide nanoparticles (ZnONPs) were synthesized from Croton joufra leaves extract contai...
International Nano Letters
comment
0
thumb_up
0
Synthesis of cellulose nanofibers from lignocellulosic materials and their photocatalytic dye degradation studies
The present research emphasizes lignocellulosic materials like agricultural biomass such as Ragi Stalk also known as Finge...
International Nano Letters
comment
0
thumb_up
0
Green synthesis of zinc oxide nanoparticles using Croton joufra leaf extract, characterization and antidiabetic activity
In this current investigation, zinc oxide nanoparticles (ZnONPs) were synthesized from Croton joufra leaves extract contai...
International Nano Letters
comment
0
thumb_up
0
A common platform technology for green synthesis of multiple nanoparticles and their applicability in crop growth
The study describes green synthesis of diverse nanoparticles using a single platform technology using water extract of pow...
International Nano Letters
comment
0
thumb_up
0
Experimental data and development of Weibull distribution model for relative dynamic modulus profile of PMMA/TiO2 polymer nanocomposites
The study of relative dynamic modulus ( $$_}$$ ) profile, i.e., phase transition behavior of the polymers and their compos...
International Nano Letters
comment
0
thumb_up
0
Graphitic carbon nitride (g-C3N4) based materials: current application trends in health and other multidisciplinary fields
Graphitic carbon nitride (g-C3N4) has a chemical composition of only carbon and nitrogen, having unique optoelectronic fea...
International Nano Letters
comment
0
thumb_up
0
Characterization of Firmiana colorata (Roxb.) R. Br. leaf extract and its silver nanoparticles reveal their antioxidative, anti-microbial, and anti-inflammatory properties
Nanotechnology is the integrative science in the field of physics, chemistry and biology. For the synthesis of silver nano...
International Nano Letters
comment
0
thumb_up
0
Correction: Characterization of Firmiana colorata (Roxb.) R. Br. leaf extract and its silver nanoparticles reveal their antioxidative, anti-microbial, and anti-inflammatory properties
Unfortunately, the below author names and the affiliations are not updated in the original ar...
International Nano Letters
comment
0
thumb_up
0
Optical properties of polystyrene with carbon nanotube and carbon nano incorporated and surface morphology studies
The polystyrene (PS) was doped by carbon nanotube (CNT) and nano carbon (CN) that have been synthesized. The pure PS and t...
International Nano Letters
comment
0
thumb_up
0
Utilization of geometry inspired array absorbers for electromagnetic device testing
Performance of a microwave absorbing material can be increased by moulding it into a resonator structure. These tuned stru...
International Nano Letters
comment
0
thumb_up
0
Development of zirconia-modified polymer nanocomposites for Artificial Bio-Bearing (ABB) Applications
This work highlights the development of a novel hybrid thermoplastic composite for biomaterial applications subjected to c...
International Nano Letters
comment
0
thumb_up
0
Characterization of Firmiana colorata (Roxb.) leaf extract and its silver nanoparticles reveal their antioxidative, anti-microbial, and anti-inflammatory properties
Nanotechnology is the integrative science in the field of physics, chemistry and biology. For the synthesis of silver nano...
International Nano Letters
comment
0
thumb_up
0
Nanoparticles: a promising vehicle for the delivery of therapeutic enzymes
Nanomedicine and nanodelivery are a very fast-growing domains of science where materials in the nanoscale range are synthe...
International Nano Letters
comment
0
thumb_up
0
Recent progress in algae-mediated silver nanoparticle synthesis
The use of silver nanoparticles (AgNPs) in many consumer products is expected to increase in the future due to their multi...
International Nano Letters
comment
0
thumb_up
0
Nano clays and its composites for food packaging applications
In nature, nano clays can be found in abundance; they are phyllosilicate minerals with a platelet-like shape, flaky, soft ...
International Nano Letters
comment
0
thumb_up
0
Titania nanotube arrays as nanobiomatrix interfaces for localized biomolecules delivery to human neuroblastoma SH-SY5Y cells
Titania nanotube arrays (TNA) surface has become a promising nano-surface technology for medical implant application. Howe...
International Nano Letters
comment
0
thumb_up
0
Recent advancements in Janus nanoparticle-based biosensing platforms
Nanoparticles have aided in the development of nano-based sensors for diagnostic applications. However, use of nanoparticl...
International Nano Letters
comment
0
thumb_up
0
Biosynthesis and characterization of silver nanoparticles using Bacillus subtilis, Escherichia coli, and leaf extracts of Jatropha and Ocimum species
Silver nanoparticles (AgNPs) are used in many fields for various purposes, and the biosynthesis of AgNPs through biologica...
International Nano Letters
comment
0
thumb_up
0
Biosynthesized nanoparticles as a rescue aid for agricultural sustainability and development
The applications of NPs in agriculture is a crucial tool for modern-day effective agricultural practice. NPs have been not...
International Nano Letters
comment
0
thumb_up
0
An overview of green methods for Fe2O3 nanoparticle synthesis and their applications
Nanoparticles received great attention during the last few decades due to their broad application in different fields. The...
International Nano Letters
comment
0
thumb_up
0
Influence of dispersant-mixed TiO2 nanoparticles on stability and physicochemical properties of Semecarpus anacardium biodiesel blend
Biodiesel has gained great relevance in diesel engine applications in recent years owing to its economic and environmental...
International Nano Letters
comment
0
thumb_up
0
Presence and activities of carbonaceous nano-materials in Ayurvedic nano-medicine preparations
Ayurvedic nano-medicine preparations (ANMPs), Bhasma and Sindura, are considered as most effective dosage forms in Ayurved...
International Nano Letters
comment
0
thumb_up
0
Recent advances in fluorescent 0D carbon nanomaterials as artificial nanoenzymes for optical sensing applications
The new member of carbon nanomaterial family, 0D carbon nanomaterials attracted the attention of the scientific family rec...
International Nano Letters
comment
0
thumb_up
0
Copper nanoparticles and their oxides: optical, anticancer and antibacterial properties
The remarkable link between the strength and location of the Localized Surface Plasmon Resonance (LSPR) peak and the size,...
International Nano Letters
comment
0
thumb_up
0
Load More
Modal title
×
Modal title
×
Share
Login
Global News and Health Forum
Join Now!
Member Login
Remember me
Forgot password?
Or using
Linkedin