×
Close
Sign Up
Login
Home
SCI Abstract
Library D
Community
Events
Events & Partner
WeMed
Media Partners
Educational Partner
User Tools
FAQ/USER GUIDE
Language
English
中文/ Chinese
Contact Us
×
Close
mdla_1
mdla_2
mdla_3
mdla_4
mdla_5
mdla_6
Categories
Genetics & Heredity
14193
Global Medical University
4849
Allergy
1445
Anatomy & Morphology
1361
Andrology
299
Anesthesia & Intensive Care
1238
Anesthesiology
5134
Audiology & Speech-Language Pathology
266
Behavioral Sciences
91
Biochemical Research Methods
6621
Biochemistry & Molecular Biology
28232
Biodiversity Conservation
296
Biology
7876
Biophysics
7871
Biotechnology & Applied Microbiology
7798
Cardiac & Cardiovascular Systems
29468
Cardiovascular & Respiratory Systems
1231
Cell & Tissue Engineering
666
Cell Biology
10310
Chemistry, Analytical
3709
Chemistry, Applied
10503
Chemistry, Medicinal
8244
Chemistry, Multidisciplinary
17276
Clinical Immunology & Infectious Disease
394
Clinical Medicine
7611
Clinical Neurology
15584
Clinical Psychology & Psychiatry
1215
Critical Care Medicine
3000
Dentistry, Oral Surgery & Medicine
12204
Dermatology
6389
Developmental Biology
6514
Ecology
569
Education, Scientific Disciplines
1872
Emergency Medicine
3780
Endocrinology, Metabolism & Nutrition
22750
Engineering, Biomedical
3542
Entomology
461
Environmental Medicine & Public Health
4427
Evolutionary Biology
247
Gastroenterology & Hepatology
11172
General & Internal Medicine
6534
Geriatrics & Gerontology
4625
Gerontology
344
Health Care Sciences & Services
15061
Health Policy & Services
548
Hematology
5058
Immunology
23552
Infectious Diseases
13055
Integrative & Complementary Medicine
2756
Medical Ethics
1162
Medical Informatics
2158
Medical Laboratory Technology
361
Medicine, General & Internal
41955
Medicine, Legal
488
Medicine, Research & Experimental
16485
Microbiology
22085
Mycology
0
Nanoscience & Nanotechnology
4768
Neuroimaging
1280
Neurology
4078
Neurosciences
37803
Nursing
8592
Nutrition & Dietetics
7392
Obstetrics & Gynecology
7613
Oncology
48799
Ophthalmology
9093
Optics
3937
Orthopedics
10761
Orthopedics, Rehabilitation & Sports Medicine
1663
Otolaryngology
1392
Otorhinolaryngology
4462
Parasitology
1089
Pathology
4595
Pediatrics
20194
Peripheral Vascular Disease
4426
Pharmacology & Pharmacy
32736
Pharmacology/Toxicology
11571
Physiology
8327
Polymer Science
506
Primary Health Care
767
Psychiatry
18014
Psychology
4782
Psychology, Applied
91
Psychology, Biological
339
Psychology, Clinical
752
Psychology, Developmental
215
Psychology, Educational
139
Psychology, Experimental
149
Psychology, Mathematical
0
Psychology, Multidisciplinary
1571
Psychology, Psychoanalysis
29
Psychology, Social
111
Public Health & Health Care Science
2025
Public, Environmental & Occupational Health
25801
Quantum Science & Technology
0
Radiology, Nuclear Medicine & Imaging
11761
Radiology, Nuclear Medicine & Medical Imaging
7327
Rehabilitation
2695
Remote Sensing
0
Reproductive Biology
2712
Reproductive Medicine
1124
Research/Laboratory Medicine & Medical Technology
3813
Respiratory System
6686
Rheumatology
5380
Social Sciences, Biomedical
1089
Substance Abuse
2519
Surgery
32252
Toxicology
4024
Transplantation
820
Tropical Medicine
283
Urology & Nephrology
11865
Veterinary Sciences
28
Virology
2178
Zoology
0
Channels
JOURNAL OF GENETICS
213
Genetics
5
NEJM Genetics
2
Medrxiv - Genetic And Genomic Medicine
1685
CANCER GENE THERAPY
358
CHROMOSOMA
84
CLINICAL GENETICS
90
CURRENT GENETICS
121
CURRENT OPINION IN GENETICS & DEVELOPMENT
249
EPIGENETICS & CHROMATIN
122
EPIGENOMICS
19
EPILEPSIA
147
FRONTIERS IN GENETICS
5181
GENE THERAPY
163
GENETICS IN MEDICINE
60
GENOME MEDICINE
284
GENOMICS PROTEOMICS & BIOINFORMATICS
200
HUMAN GENETICS
340
HUMAN MUTATION
89
JOURNAL OF HUMAN GENETICS
270
JOURNAL OF MEDICAL GENETICS
374
NATURE REVIEWS GENETICS
302
NPJ GENOMIC MEDICINE
170
ORPHANET JOURNAL OF RARE DISEASES
765
ANNALS OF HUMAN GENETICS
18
CYTOGENETIC AND GENOME RESEARCH
91
G3-GENES GENOMES GENETICS
19
GENETIC EPIDEMIOLOGY
13
HUMAN GENOMICS
215
HUMAN HEREDITY
30
INTERNATIONAL JOURNAL OF IMMUNOGENETICS
18
JOURNAL OF EVOLUTIONARY BIOLOGY
78
JOURNAL OF GENETIC COUNSELING
105
PSYCHIATRIC GENETICS
109
EGYPTIAN JOURNAL OF MEDICAL HUMAN GENETICS
260
FORENSIC SCIENCE INTERNATIONAL GENETICS SUPPLEMENT SERIES
17
GENETICS AND MOLECULAR RESEARCH
10
GLOBAL MEDICAL GENETICS
138
INTERNATIONAL JOURNAL OF NEONATAL SCREENING
72
JOURNAL OF COMMUNITY GENETICS
169
NON-CODING RNA
116
FUNCTIONAL & INTEGRATIVE GENOMICS
504
GENETICA
125
IMMUNOGENETICS
140
JOURNAL OF APPLIED GENETICS
237
RUSSIAN JOURNAL OF GENETICS
416
SCI Abstract
search
ALL
RECOMMENDED
+
Genetic analysis in a consanguineous MCPH family revealed a refinement of the MCPH12 locus and a founder effect of the recurrent variant [c.589G>A, p.(Ala197Thr)] in the Pakistani population
Primary microcephaly (MCPH) is an autosomal recessive condition of reduced head circumference due to a small cerebral cort...
Journal Of Genetics
comment
0
thumb_up
0
On the reversibility of RNA deamination versus RNA methylation: exploring the proximate and ultimate causes
RNA modifications play a crucial role in regulating gene expression, splicing, decoding, translation, and degradation. Amo...
Journal Of Genetics
comment
0
thumb_up
0
Characteristics of the MAPK gene family in and role in response to fungal pathogen infection
The stems of Zizania latifolia, an important vegetable in China, are targeted by the pathogen Ustilago esculenta, triggeri...
Journal Of Genetics
comment
0
thumb_up
0
Mitochondrial genome sequence of Bleeker, 1849 (Syngnathiformes, Syngnathidae) and its phylogenetic placement
The family Syngnathidae includes seahorses, sea dragons, and pipefishes. We sequenced the complete mitochondrial DNA (mtDN...
Journal Of Genetics
comment
0
thumb_up
0
Comparative analysis of the mitochondrial genome of whip scorpion, (Butler, 1872) (Arachnida: Thelyphonidae) with phylogenetic implication
The complete mitogenome of the common Chinese whip scorpion, Typopeltis sinensis (Butler, 1872) was sequenced and compared...
Journal Of Genetics
comment
0
thumb_up
0
A novel partial mRNA-derived duplication of the gene identified in NGS carrier screening
Duplications in the dystrophin gene (DMD) represent a common genetic variation associated with the onset of Duchenne and B...
Journal Of Genetics
comment
0
thumb_up
0
Complete mitochondrial DNA genome of the Indian Chhattisgarh duck and its phylogenetic analysis
The Chhattisgarh duck (Anas platyrhynchos L., 1758) is a native Indian germplasm that provides crucial support for the loc...
Journal Of Genetics
comment
0
thumb_up
0
Transcriptome analysis unveils the intricate dynamics of senescence responses in Himalayan treeline species,
High-altitude ecosystems in the Himalayas exhibit extreme seasonal variations in their vegetation, with summer and winter ...
Journal Of Genetics
comment
0
thumb_up
0
Neuronal expressions of Taxi and Adar are crucial in maintaining the lifespan of
Ageing involves deterioration in physiological processes, such as maintenance of neuronal health, muscle, fat bodies, and ...
Journal Of Genetics
comment
0
thumb_up
0
Characterization and phylogenetic analysis of the mitochondrial genome of (Günther, 1867)
The ornamental fish Amatitlania nigrofasciata, known as the convict or zebra cichlid, is a small Central American tropical...
Journal Of Genetics
comment
0
thumb_up
0
Copy number variation: an important genetic mechanism in-related immunoosseous dysplasia (Schimke type) in Indian patients
Schimke immunoosseous dysplasia (SIOD) is an uncommon inherited genetic disorder resulting from pathogenic variants in the...
Journal Of Genetics
comment
0
thumb_up
0
Full-length transcriptome sequencing and identification of skin colour-associated genes in red tilapia
Red tilapia has gained increasing popularity worldwide in the commercial aquaculture production due to its rapid growth an...
Journal Of Genetics
comment
0
thumb_up
0
Mitotic karyotyping and FISH mapping of the gender-specific locus indicate an advanced XY system in
Hippophae rhamnoides ssp. turkestanica, a subdioecious plant inhabiting the cold desert of the Indian Himalaya, has gained...
Journal Of Genetics
comment
0
thumb_up
0
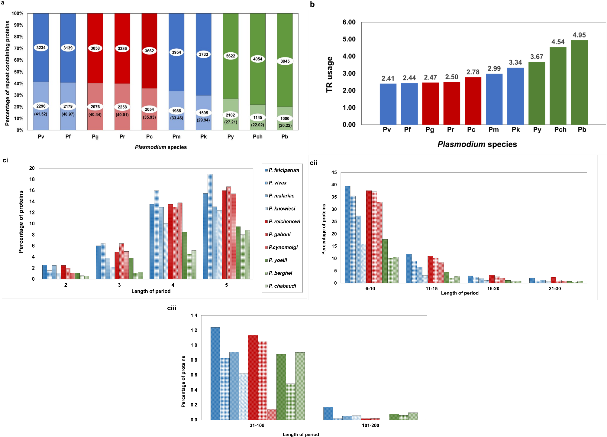
Structural and functional insights from detailed computational analysis of repetome
Eukaryotic proteomes harbour tandem repeats (TRs) of amino acids that may play critical roles in the biology of organisms....
Journal Of Genetics
comment
0
thumb_up
0
Development of specific molecular markers for medicinal peony () with double flower
In China, medicinal Paeonia lactiflora with double flowers (DFs) does not produce seeds, yet it possesses significantly hi...
Journal Of Genetics
comment
0
thumb_up
0
Mitochondrial control region sequences show high genetic connectivity in the brownstripe snapper, (Quoy and Gaimard, 1824) from the east coast of Peninsular Malaysia
The Brownstripe Snapper, Lutjanus vitta (Quoy and Gaimard, 1824) is a commercially important snapper extensively caught in...
Journal Of Genetics
comment
0
thumb_up
0
JAG1 overexpression partially rescues muscle function in a zebrafish model of duchenne muscular dystrophy
Duchenne muscular dystrophy (DMD) is a severe genetic disorder characterized by progressive muscle degeneration and loss o...
Journal Of Genetics
comment
0
thumb_up
0
YY1 as a mediator to enhance the resistance of KRAS mutant colorectal cancer cells to cetuximab
Cetuximab has been indicated as the mainstay of metastatic colorectal cancer (CRC) therapy, of which application was imped...
Journal Of Genetics
comment
0
thumb_up
0
The driver in does not express in the eight pairs of dorsomedial and some other neurons in larval ventral ganglia: a correction
The sev-Gal4 driver is widely used in Drosophila to express the target gene in specific subsets of cells in ommatidial uni...
Journal Of Genetics
comment
0
thumb_up
0
Maternal effect on the inheritance of pericarp colour and grain dimension in rice ( L.)
This study aimed to understand the maternal influence on the inheritance of pericarp colour and grain dimensions in rice, ...
Journal Of Genetics
comment
0
thumb_up
0
Generation of albino C57BL/6J mice by CRISPR embryo editing of the mouse tyrosinase locus
After the arrival of the CRISPR/Cas9 genome editing technology, genetic engineering of model organisms has become much fas...
Journal Of Genetics
comment
0
thumb_up
0
Gonadal mosaicism and paradoxical phenotype in encephalopathy: a case report of two siblings
The neurite extension and migration factor (NEXMIF) encephalopathy is an X-linked disorder that is chara...
Journal Of Genetics
comment
0
thumb_up
0
Characterization and expression patterns of the -like genes in maize
The nonexpressor of pathogenesis-related 1 (NPR1) is the salicylic acid (SA) receptor, which plays an important regulatory...
Journal Of Genetics
comment
0
thumb_up
0
Deletion of noncoding exons 1–2 causes Smith–Magenis syndrome
Smith–Magenis syndrome (SMS) is a complex genetic disorder characterized by developmental delay and a typical behavi...
Journal Of Genetics
comment
0
thumb_up
0
Mapping and gene cloning of a wheat mutant with dwarf and compacted spikes
Plant height and spikelet density are two important traits for wheat (Triticum aestivum L.) yield. The development of whea...
Journal Of Genetics
comment
0
thumb_up
0
Analysis of whole-exome data of nonobese NAFLD patients from India reveals association with new markers on functionally relevant genes and pathways
Nonalcoholic fatty liver disease (NAFLD) occurs in a significant number of nonobese individuals, especially in Asian popul...
Journal Of Genetics
comment
0
thumb_up
0
promoter mutation: a familial study on congenital amegakaryocytic thrombocytopenia
Congenital amegakaryocytic thrombocytopenia (CAMT) is a rare inherited bone marrow failure syndrome, which is characterize...
Journal Of Genetics
comment
0
thumb_up
0
Analysis of tandem repeats in seven telomere-to-telomere primate genomes
Tandem repeats (TRs) are highly polymorphic low complexity regions present in all the genomes. The length variation in TRs...
Journal Of Genetics
comment
0
thumb_up
0
is involved in yield-related traits and cell proliferation of maize
Heterotrimeric G-proteins are multifunctional modulators that participate in a wide range of growth and developmental proc...
Journal Of Genetics
comment
0
thumb_up
0
NGLY1-CDDG: report of two cases from India and brief review of literature
N-glycanase1 (NGLY1) deficiency, an autosomal recessive disorder identified a decade ago, is categorized as a congenital d...
Journal Of Genetics
comment
0
thumb_up
0
Load More
Modal title
×
Modal title
×
Share
Login
Global News and Health Forum
Join Now!
Member Login
Remember me
Forgot password?
Or using
Linkedin