×
Close
Sign Up
Login
Home
SCI Abstract
Library D
Community
Events
Events & Partner
WeMed
Media Partners
Educational Partner
User Tools
FAQ/USER GUIDE
Language
English
中文/ Chinese
Contact Us
×
Close
mdla_1
mdla_2
mdla_3
mdla_4
mdla_5
mdla_6
Categories
Pharmacology & Pharmacy
32806
Global Medical University
4855
Allergy
1448
Anatomy & Morphology
1366
Andrology
306
Anesthesia & Intensive Care
1238
Anesthesiology
5117
Audiology & Speech-Language Pathology
267
Behavioral Sciences
91
Biochemical Research Methods
6625
Biochemistry & Molecular Biology
28260
Biodiversity Conservation
296
Biology
7883
Biophysics
7890
Biotechnology & Applied Microbiology
7813
Cardiac & Cardiovascular Systems
29476
Cardiovascular & Respiratory Systems
1242
Cell & Tissue Engineering
666
Cell Biology
10247
Chemistry, Analytical
3730
Chemistry, Applied
10510
Chemistry, Medicinal
8234
Chemistry, Multidisciplinary
17297
Clinical Immunology & Infectious Disease
395
Clinical Medicine
7647
Clinical Neurology
15539
Clinical Psychology & Psychiatry
1215
Critical Care Medicine
3002
Dentistry, Oral Surgery & Medicine
12234
Dermatology
6438
Developmental Biology
6533
Ecology
570
Education, Scientific Disciplines
1873
Emergency Medicine
3780
Endocrinology, Metabolism & Nutrition
22770
Engineering, Biomedical
3523
Entomology
461
Environmental Medicine & Public Health
4414
Evolutionary Biology
247
Gastroenterology & Hepatology
11225
General & Internal Medicine
6536
Genetics & Heredity
14223
Geriatrics & Gerontology
4632
Gerontology
344
Health Care Sciences & Services
15078
Health Policy & Services
549
Hematology
5050
Immunology
23582
Infectious Diseases
13059
Integrative & Complementary Medicine
2757
Medical Ethics
1162
Medical Informatics
2139
Medical Laboratory Technology
361
Medicine, General & Internal
42008
Medicine, Legal
488
Medicine, Research & Experimental
16507
Microbiology
22073
Mycology
0
Nanoscience & Nanotechnology
4776
Neuroimaging
1281
Neurology
4083
Neurosciences
37847
Nursing
8625
Nutrition & Dietetics
7393
Obstetrics & Gynecology
7624
Oncology
48906
Ophthalmology
9098
Optics
3947
Orthopedics
10776
Orthopedics, Rehabilitation & Sports Medicine
1663
Otolaryngology
1392
Otorhinolaryngology
4472
Parasitology
1089
Pathology
4606
Pediatrics
20231
Peripheral Vascular Disease
4432
Pharmacology/Toxicology
11586
Physiology
8344
Polymer Science
507
Primary Health Care
768
Psychiatry
18041
Psychology
4767
Psychology, Applied
91
Psychology, Biological
339
Psychology, Clinical
753
Psychology, Developmental
215
Psychology, Educational
139
Psychology, Experimental
149
Psychology, Mathematical
0
Psychology, Multidisciplinary
1572
Psychology, Psychoanalysis
29
Psychology, Social
111
Public Health & Health Care Science
2027
Public, Environmental & Occupational Health
25825
Quantum Science & Technology
0
Radiology, Nuclear Medicine & Imaging
11769
Radiology, Nuclear Medicine & Medical Imaging
7314
Rehabilitation
2689
Remote Sensing
0
Reproductive Biology
2713
Reproductive Medicine
1111
Research/Laboratory Medicine & Medical Technology
3813
Respiratory System
6674
Rheumatology
5395
Social Sciences, Biomedical
1091
Substance Abuse
2521
Surgery
32260
Toxicology
4030
Transplantation
821
Tropical Medicine
283
Urology & Nephrology
11872
Veterinary Sciences
28
Virology
2181
Zoology
0
Channels
CHIRALITY
66
Medrxiv - Pharmacology and Therapeutics
209
AAPS JOURNAL
286
ACTA PHARMACOLOGICA SINICA
486
ADVANCED DRUG DELIVERY REVIEWS
0
ANTIVIRAL RESEARCH
0
CANCER CHEMOTHERAPY AND PHARMACOLOGY
351
CHEMICO-BIOLOGICAL INTERACTIONS
896
CHEMMEDCHEM
201
CLINICAL PHARMACOKINETICS
316
CLINICAL PHARMACOLOGY & THERAPEUTICS
183
CNS DRUGS
201
CNS NEUROSCIENCE & THERAPEUTICS
93
DRUG DISCOVERY TODAY
184
DRUG METABOLISM AND DISPOSITION
365
DRUG RESISTANCE UPDATES
178
DRUG SAFETY
315
DRUGS
417
EUROPEAN JOURNAL OF PHARMACEUTICAL SCIENCES
673
EUROPEAN JOURNAL OF PHARMACEUTICS AND BIOPHARMACEUTICS
614
EUROPEAN JOURNAL OF PHARMACOLOGY
1387
INTERNATIONAL IMMUNOPHARMACOLOGY
2685
INTERNATIONAL JOURNAL OF PHARMACEUTICS
1902
JOURNAL OF CONTROLLED RELEASE
1251
JOURNAL OF ETHNOPHARMACOLOGY
2215
JOURNAL OF FOOD AND DRUG ANALYSIS
166
JOURNAL OF PHARMACEUTICAL ANALYSIS
390
NATURE REVIEWS DRUG DISCOVERY
566
NEUROPHARMACOLOGY
0
NEUROPSYCHOPHARMACOLOGY
659
NEUROTOXICOLOGY
0
PHARMACOGENOMICS
3
PHARMACOLOGY & THERAPEUTICS
323
PHARMACOTHERAPY
46
THERAPEUTIC ADVANCES IN CHRONIC DISEASE
65
TOXICOLOGY AND APPLIED PHARMACOLOGY
0
TOXICOLOGY IN VITRO
427
VALUE IN HEALTH
20
VASCULAR PHARMACOLOGY
0
ANNALS OF PHARMACOTHERAPY
93
ANTIBIOTICS-BASEL
1863
BIOMEDICAL CHROMATOGRAPHY
197
BIOPHARMACEUTICS & DRUG DISPOSITION
13
BRAZILIAN JOURNAL OF PHARMACEUTICAL SCIENCES
0
CHEMOTHERAPY
77
CHINESE MEDICINE
391
CLINICAL NEUROPHARMACOLOGY
50
CLINICAL PHARMACOLOGY IN DRUG DEVELOPMENT
83
CLINICAL THERAPEUTICS
18
CNS & NEUROLOGICAL DISORDERS-DRUG TARGETS
46
DOSE-RESPONSE
62
DRUG DEVELOPMENT RESEARCH
87
EUROPEAN JOURNAL OF HOSPITAL PHARMACY-SCIENCE AND PRACTICE
234
EUROPEAN REVIEW FOR MEDICAL AND PHARMACOLOGICAL SCIENCES
675
HUMAN & EXPERIMENTAL TOXICOLOGY
72
INTERNATIONAL JOURNAL FOR PARASITOLOGY-DRUGS AND DRUG RESISTANCE
0
INTERNATIONAL JOURNAL OF TOXICOLOGY
28
IRANIAN JOURNAL OF PHARMACEUTICAL RESEARCH
154
JOURNAL OF ANTIBIOTICS
240
JOURNAL OF CARDIOVASCULAR PHARMACOLOGY
370
JOURNAL OF CARDIOVASCULAR PHARMACOLOGY AND THERAPEUTICS
21
JOURNAL OF CLINICAL PHARMACY AND THERAPEUTICS
126
JOURNAL OF DRUG DELIVERY SCIENCE AND TECHNOLOGY
1807
JOURNAL OF INTERNATIONAL MEDICAL RESEARCH
419
JOURNAL OF ONCOLOGY PHARMACY PRACTICE
144
JOURNAL OF PHARMACEUTICAL AND BIOMEDICAL ANALYSIS
0
JOURNAL OF PHARMACOLOGICAL AND TOXICOLOGICAL METHODS
0
JOURNAL OF PHARMACOLOGICAL SCIENCES
0
JOURNAL OF PHARMACY AND PHARMACOLOGY
18
NAUNYN-SCHMIEDEBERGS ARCHIVES OF PHARMACOLOGY
483
PHARMACOEPIDEMIOLOGY AND DRUG SAFETY
90
PHARMACOGENOMICS & PERSONALIZED MEDICINE
281
PHARMACOLOGY
115
PHARMACOLOGY BIOCHEMISTRY AND BEHAVIOR
0
SKIN PHARMACOLOGY AND PHYSIOLOGY
57
THERAPEUTIC ADVANCES IN DRUG SAFETY
14
THERAPEUTIC DRUG MONITORING
168
INDIAN JOURNAL OF PHARMACEUTICAL EDUCATION AND RESEARCH
19
INDIAN JOURNAL OF PHARMACOLOGY
16
JOURNAL OF APPLIED BIOMEDICINE
44
JOURNAL OF THE AMERICAN PHARMACISTS ASSOCIATION
17
REVISTA BRASILEIRA DE FARMACOGNOSIA-BRAZILIAN JOURNAL OF PHARMACOGNOSY
348
THERAPIE
347
SCIENTIA PHARMACEUTICA
94
ADMET AND DMPK
79
ADVANCED THERAPEUTICS
74
ADVANCES IN PHARMACOLOGY AND PHARMACY
117
ADVANCES IN TRADITIONAL MEDICINE
44
ASIAN JOURNAL OF PHARMACEUTICAL RESEARCH AND HEALTH CARE
14
ASIAN JOURNAL OF PHARMACEUTICS
189
CANADIAN JOURNAL OF HOSPITAL PHARMACY
161
CURRENT DRUG THERAPY
18
EGYPTIAN PHARMACEUTICAL JOURNAL
35
FUTURE JOURNAL OF PHARMACEUTICAL SCIENCES
257
GABI JOURNAL-GENERICS AND BIOSIMILARS INITIATIVE JOURNAL
71
INTERNATIONAL JOURNAL OF PHARMACEUTICAL INVESTIGATION
212
JOURNAL OF ADVANCED PHARMACEUTICAL TECHNOLOGY & RESEARCH
164
JOURNAL OF ANAESTHESIOLOGY CLINICAL PHARMACOLOGY
0
JOURNAL OF PHARMACEUTICAL HEALTH CARE AND SCIENCES
114
JOURNAL OF PHARMACEUTICAL POLICY AND PRACTICE
287
JOURNAL OF PHARMACOLOGY & PHARMACOTHERAPEUTICS
58
JOURNAL OF PHARMACY AND BIOALLIED SCIENCES
39
JOURNAL OF PHARMACY PRACTICE
60
JOURNAL OF RESEARCH IN PHARMACY PRACTICE
40
RESEARCH JOURNAL OF PHARMACOGNOSY
86
PHARMACEUTICAL MEDICINE
76
PHARMACIA
140
PHARMACOECONOMICS-OPEN
217
PHARMACY
160
PHARMACY PRACTICE-GRANADA
16
DARU-JOURNAL OF PHARMACEUTICAL SCIENCES
110
DRUGS & AGING
250
EUROPEAN JOURNAL OF CLINICAL PHARMACOLOGY
472
INVESTIGATIONAL NEW DRUGS
311
JOURNAL OF PHARMACEUTICAL INNOVATION
351
JOURNAL OF PHARMACOKINETICS AND PHARMACODYNAMICS
187
NEUROTHERAPEUTICS
357
PEDIATRIC DRUGS
189
THERAPEUTIC INNOVATION & REGULATORY SCIENCE
331
SCI Abstract
search
ALL
RECOMMENDED
+
Chiral 2‐phenyl‐3‐hydroxypropyl esters as PKC‐alpha modulators: HPLC enantioseparation, NMR absolute configuration assignment, and molecular docking studies
Abstract Protein kinase C (PKC) isoforms play a pivotal role in the regulation of numerous cellular functions, making them...
Chirality
comment
0
thumb_up
0
Enantioselective synthesis and selective functionalization of 4‐aminotetrahydroquinolines as novel GLP‐1 secretagogues
Abstract Polysubstituted tetrahydroquinolines were obtained in moderate to high yields (28% to 92%) and enantiomeric ratio...
Chirality
comment
0
thumb_up
0
Molecular enantiodiscrimination by NMR spectroscopy in chiral oriented systems: Concept, tools, and applications
Abstract The study of enantiodiscriminations in relation to various facets of enantiomorphism (chirality/prochirality) and...
Chirality
comment
0
thumb_up
0
Photo racemization of 2,2′‐dihydroxy‐1,1′‐binaphthyl derivatives
Abstract Photo racemization of 2,2′-dihydroxy-1,1′-binaphthyl (BINOL) and its monomethyl ether, monobutyl et...
Chirality
comment
0
thumb_up
0
Concentration and pH effect on the electronic circular dichroism and anisotropy spectra of aqueous solutions of glyceric acid calcium salt
Abstract Electronic circular dichroism (ECD) and anisotropy spectra carry information on differential absorption of left- ...
Chirality
comment
0
thumb_up
0
Resolution of (R,S)‐1‐(4‐methoxyphenyl)ethanol by lipase‐catalyzed stereoselective transesterification and the process optimization
Abstract An efficient lipase-catalyzed stereoselective transesterification reaction system was established for resolution ...
Chirality
comment
0
thumb_up
0
Enantioselective synthesis of coumarins catalyzed by an isosteviol‐derived tertiary amine‐squaramide catalyst
Abstract A newly tertiary amine-squaramide organocatalyst has been successfully developed and applied into the asymmetric ...
Chirality
comment
0
thumb_up
0
Macromolecular helicity induction and static helicity memory of poly(biphenylylacetylene)s bearing aromatic pendant groups and their use as chiral stationary phases for high‐performance liquid chromatography
Abstract Two novel poly(biphenylylacetylene)s (PBPAs) bearing achiral alkylphenyl groups at the 4′-position of the ...
Chirality
comment
0
thumb_up
0
Multigram‐scale enzymatic kinetic resolution of trans‐2‐azidocyclohexyl acetate and chiral reversed‐phase HPLC analysis of trans‐2‐azidocyclohexanol
Abstract Lipase-catalyzed hydrolytic kinetic resolution is a method of obtaining optically pure chiral alcohols and amines...
Chirality
comment
0
thumb_up
0
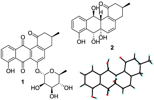
Angucycline and angucyclinone derivatives from the marine‐derived Streptomyces sp.
Abstract Atramycin C (1), one new angucycline bearing an O-6 rhamnose side chain, along with one new highly hydroxylated a...
Chirality
comment
0
thumb_up
0
Impact of cyclofructan derivatives as efficient chiral selector in chiral analysis: An overview
Abstract The development of chiral selectors for the separation and analysis of chiral molecules has been an evolving proc...
Chirality
comment
0
thumb_up
0
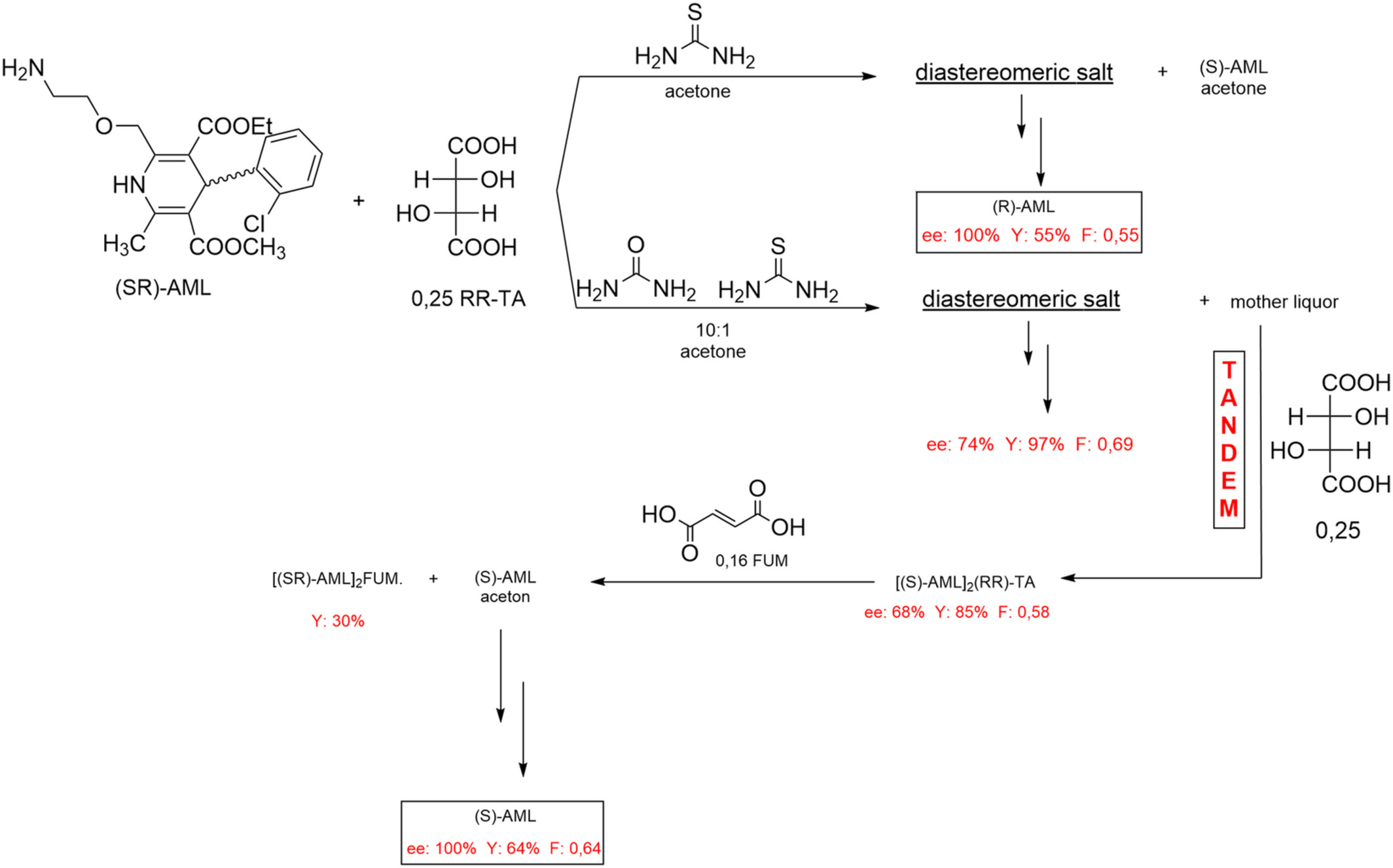
Enantiomeric separation of racemic amlodipine by sequential fractional crystallization through formation of diastereomeric salt solvates and co‐crystals of solvate‐like compounds with specific structure — A tandem resolution
Abstract A new resolution method of racemic amlodipine has been developed. The racemic compound is reacted in a suitable s...
Chirality
comment
0
thumb_up
0
Efficient preparation of stereopure amphiphilic 1,2‐amino alcohols by using preparative enantioselective HPLC
Abstract Chiral amphiphiles are useful for controlling the structures and properties of supramolecular assemblies, but the...
Chirality
comment
0
thumb_up
0
Absolute configuration assignment of stigmasterol oxiranes
Abstract Diastereoisomeric stigmasterol oxiranes 4, 5, 8, and 9 are known phytosterol oxidation products (POPs) that have ...
Chirality
comment
0
thumb_up
0
ECD exciton chirality method today: a modern tool for determining absolute configurations
Abstract The application of the exciton chirality method (ECM) to interpret electronic circular dichroism (ECD) spectra is...
Chirality
comment
0
thumb_up
0
Chiral organic stereochemistry: Chiral HPLC, chiral auxiliaries, CD spectroscopy, X‐ray crystallography, and light‐powered chiral molecular motors
Abstract In the studies of chiral organic stereochemistry, it is important to use enantiopure compounds. For this purpose,...
Chirality
comment
0
thumb_up
0
Chirality determination in crystals
Abstract This tutorial review article discusses chirality determination in the solid state, both in single crystals and in...
Chirality
comment
0
thumb_up
0
DABCO‐based chiral ionic liquids as recoverable and reusable organocatalyst for asymmetric Diels–Alder reaction
Abstract New DABCO-based chiral ionic liquids were synthesized and evaluated in asymmetric Diels–Alder reaction of ...
Chirality
comment
0
thumb_up
0
Inducing enantioselective crystallization with and self‐assembly of star‐shaped hybrid polymers prepared via “grafting to” strategy
Abstract Helical polymers present some interesting and distinctive properties, and one of the most distinguished applicati...
Chirality
comment
0
thumb_up
0
A miniaturized analytical method based on molecularly imprinted absorbents for selective extraction of (S)‐1,1′‐binaphthyl‐2,2′‐diamine and combinatorial screening of polymer precursors by computational simulation
Abstract Chiral resolution of binaphthylamine is often a toilful conundrum in the field of analytical chemistry and biomed...
Chirality
comment
0
thumb_up
0
Circularly polarized luminescence of Eu(III) complexes with chiral 1,1′‐bi‐2‐naphtol‐derived bisphosphate ligands
Abstract The interest for lanthanide circularly polarized luminescence (CPL) has been quickly growing for 10 years....
Chirality
comment
0
thumb_up
0
A novel isosteviol‐based bifunctional squaramide organocatalyst for enantioselective Michael addition of acetylacetone to nitroolefins
Abstract Chiral amine-squaramide is a kind of effective hydrogen bond donor bifunctional catalyst to promote many asymmetr...
Chirality
comment
0
thumb_up
0
Transition metal complexes bearing atropisomeric saturated NHC ligands
Abstract From achiral imidazolinium salts, chiral transition metal complexes containing an N-heterocyclic carbene (NHC) li...
Chirality
comment
0
thumb_up
0
Enantioselective analyses of chloroquine and hydroxychloroquine in rat liver microsomes through chiral liquid chromatography–tandem mass spectrometry
Abstract An efficient, sensitive and selective liquid chromatography–tandem mass spectrometry (LC–MS/MS) chi...
Chirality
comment
0
thumb_up
0
Racemization mechanism of lithium tert‐butylphenylphosphido‐borane: A kinetic insight
Abstract The racemization mechanism of tert-butylphenylphosphido-borane is investigated experimentally and theoretically. ...
Chirality
comment
0
thumb_up
0
Optically active porous hybrid particles constructed by alkynylated cellulose nanocrystals, helical substituted polyacetylene, and inorganic silica for enantio‐differentiating towards naproxen
Abstract This article reports on a novel type of ternary chiral porous hybrid particles (TCPHPs) constructed by alkynylate...
Chirality
comment
0
thumb_up
0
Chiral symmetry conservation principle
Abstract We show a chiral symmetry conservation principle based on chemical kinetics using stochastic results. Suppose the...
Chirality
comment
0
thumb_up
0
Apple juice and red wine induced mirror‐image circular dichroism in quantum dots
Abstract Juices, wines, and extracts from plants contain high concentrations of various chiral compounds such as carboxyli...
Chirality
comment
0
thumb_up
0
New pharmaceuticals approved by FDA in 2020: Small‐molecule drugs derived from amino acids and related compounds
Abstract Amino acids (AAs) play an important role in the modern health industry as key synthetic precursors for pharmaceut...
Chirality
comment
0
thumb_up
0
Congratulations to Benjamin List and David W. C. MacMillan, Nobel Prize winners for Chemistry 2021!
PDF ShareShare Please review our Terms and Conditions of Use...
Chirality
comment
0
thumb_up
0
Load More
Modal title
×
Modal title
×
Share
Login
Global News and Health Forum
Join Now!
Member Login
Remember me
Forgot password?
Or using
Linkedin