×
Close
Sign Up
Login
Home
SCI Abstract
Library D
Community
Events
Events & Partner
WeMed
Media Partners
Educational Partner
User Tools
FAQ/USER GUIDE
Language
English
中文/ Chinese
Contact Us
×
Close
mdla_1
mdla_2
mdla_3
mdla_4
mdla_5
mdla_6
Categories
Pharmacology & Pharmacy
32819
Global Medical University
4840
Allergy
1451
Anatomy & Morphology
1366
Andrology
306
Anesthesia & Intensive Care
1238
Anesthesiology
5096
Audiology & Speech-Language Pathology
267
Behavioral Sciences
91
Biochemical Research Methods
6633
Biochemistry & Molecular Biology
28280
Biodiversity Conservation
296
Biology
7886
Biophysics
7895
Biotechnology & Applied Microbiology
7810
Cardiac & Cardiovascular Systems
29450
Cardiovascular & Respiratory Systems
1242
Cell & Tissue Engineering
668
Cell Biology
10272
Chemistry, Analytical
3735
Chemistry, Applied
10515
Chemistry, Medicinal
8235
Chemistry, Multidisciplinary
17297
Clinical Immunology & Infectious Disease
395
Clinical Medicine
7663
Clinical Neurology
15544
Clinical Psychology & Psychiatry
1218
Critical Care Medicine
3004
Dentistry, Oral Surgery & Medicine
12235
Dermatology
6449
Developmental Biology
6533
Ecology
570
Education, Scientific Disciplines
1873
Emergency Medicine
3780
Endocrinology, Metabolism & Nutrition
22772
Engineering, Biomedical
3523
Entomology
461
Environmental Medicine & Public Health
4405
Evolutionary Biology
247
Gastroenterology & Hepatology
11232
General & Internal Medicine
6555
Genetics & Heredity
14226
Geriatrics & Gerontology
4633
Gerontology
344
Health Care Sciences & Services
15076
Health Policy & Services
550
Hematology
5067
Immunology
23596
Infectious Diseases
13072
Integrative & Complementary Medicine
2757
Medical Ethics
1162
Medical Informatics
2142
Medical Laboratory Technology
361
Medicine, General & Internal
42015
Medicine, Legal
488
Medicine, Research & Experimental
16528
Microbiology
22099
Mycology
0
Nanoscience & Nanotechnology
4784
Neuroimaging
1281
Neurology
4083
Neurosciences
37856
Nursing
8628
Nutrition & Dietetics
7413
Obstetrics & Gynecology
7624
Oncology
48935
Ophthalmology
9101
Optics
3948
Orthopedics
10807
Orthopedics, Rehabilitation & Sports Medicine
1663
Otolaryngology
1392
Otorhinolaryngology
4481
Parasitology
1092
Pathology
4611
Pediatrics
20239
Peripheral Vascular Disease
4437
Pharmacology/Toxicology
11587
Physiology
8353
Polymer Science
507
Primary Health Care
768
Psychiatry
18046
Psychology
4773
Psychology, Applied
91
Psychology, Biological
340
Psychology, Clinical
753
Psychology, Developmental
219
Psychology, Educational
139
Psychology, Experimental
149
Psychology, Mathematical
0
Psychology, Multidisciplinary
1573
Psychology, Psychoanalysis
29
Psychology, Social
111
Public Health & Health Care Science
2027
Public, Environmental & Occupational Health
25824
Quantum Science & Technology
0
Radiology, Nuclear Medicine & Imaging
11775
Radiology, Nuclear Medicine & Medical Imaging
7342
Rehabilitation
2679
Remote Sensing
0
Reproductive Biology
2713
Reproductive Medicine
1111
Research/Laboratory Medicine & Medical Technology
3818
Respiratory System
6678
Rheumatology
5403
Social Sciences, Biomedical
1091
Substance Abuse
2521
Surgery
32279
Toxicology
4037
Transplantation
821
Tropical Medicine
283
Urology & Nephrology
11875
Veterinary Sciences
28
Virology
2187
Zoology
0
Channels
DRUGS & AGING
250
Medrxiv - Pharmacology and Therapeutics
209
AAPS JOURNAL
286
ACTA PHARMACOLOGICA SINICA
486
ADVANCED DRUG DELIVERY REVIEWS
0
ANTIVIRAL RESEARCH
0
CANCER CHEMOTHERAPY AND PHARMACOLOGY
352
CHEMICO-BIOLOGICAL INTERACTIONS
896
CHEMMEDCHEM
201
CLINICAL PHARMACOKINETICS
316
CLINICAL PHARMACOLOGY & THERAPEUTICS
183
CNS DRUGS
201
CNS NEUROSCIENCE & THERAPEUTICS
93
DRUG DISCOVERY TODAY
184
DRUG METABOLISM AND DISPOSITION
365
DRUG RESISTANCE UPDATES
178
DRUG SAFETY
316
DRUGS
417
EUROPEAN JOURNAL OF PHARMACEUTICAL SCIENCES
673
EUROPEAN JOURNAL OF PHARMACEUTICS AND BIOPHARMACEUTICS
614
EUROPEAN JOURNAL OF PHARMACOLOGY
1387
INTERNATIONAL IMMUNOPHARMACOLOGY
2689
INTERNATIONAL JOURNAL OF PHARMACEUTICS
1905
JOURNAL OF CONTROLLED RELEASE
1251
JOURNAL OF ETHNOPHARMACOLOGY
2215
JOURNAL OF FOOD AND DRUG ANALYSIS
166
JOURNAL OF PHARMACEUTICAL ANALYSIS
390
NATURE REVIEWS DRUG DISCOVERY
567
NEUROPHARMACOLOGY
0
NEUROPSYCHOPHARMACOLOGY
659
NEUROTOXICOLOGY
0
PHARMACOGENOMICS
3
PHARMACOLOGY & THERAPEUTICS
323
PHARMACOTHERAPY
46
THERAPEUTIC ADVANCES IN CHRONIC DISEASE
65
TOXICOLOGY AND APPLIED PHARMACOLOGY
0
TOXICOLOGY IN VITRO
427
VALUE IN HEALTH
20
VASCULAR PHARMACOLOGY
0
ANNALS OF PHARMACOTHERAPY
93
ANTIBIOTICS-BASEL
1863
BIOMEDICAL CHROMATOGRAPHY
197
BIOPHARMACEUTICS & DRUG DISPOSITION
13
BRAZILIAN JOURNAL OF PHARMACEUTICAL SCIENCES
0
CHEMOTHERAPY
77
CHINESE MEDICINE
391
CHIRALITY
66
CLINICAL NEUROPHARMACOLOGY
50
CLINICAL PHARMACOLOGY IN DRUG DEVELOPMENT
83
CLINICAL THERAPEUTICS
18
CNS & NEUROLOGICAL DISORDERS-DRUG TARGETS
46
DOSE-RESPONSE
62
DRUG DEVELOPMENT RESEARCH
87
EUROPEAN JOURNAL OF HOSPITAL PHARMACY-SCIENCE AND PRACTICE
234
EUROPEAN REVIEW FOR MEDICAL AND PHARMACOLOGICAL SCIENCES
665
HUMAN & EXPERIMENTAL TOXICOLOGY
72
INTERNATIONAL JOURNAL FOR PARASITOLOGY-DRUGS AND DRUG RESISTANCE
0
INTERNATIONAL JOURNAL OF TOXICOLOGY
30
IRANIAN JOURNAL OF PHARMACEUTICAL RESEARCH
154
JOURNAL OF ANTIBIOTICS
240
JOURNAL OF CARDIOVASCULAR PHARMACOLOGY
370
JOURNAL OF CARDIOVASCULAR PHARMACOLOGY AND THERAPEUTICS
21
JOURNAL OF CLINICAL PHARMACY AND THERAPEUTICS
127
JOURNAL OF DRUG DELIVERY SCIENCE AND TECHNOLOGY
1807
JOURNAL OF INTERNATIONAL MEDICAL RESEARCH
419
JOURNAL OF ONCOLOGY PHARMACY PRACTICE
144
JOURNAL OF PHARMACEUTICAL AND BIOMEDICAL ANALYSIS
0
JOURNAL OF PHARMACOLOGICAL AND TOXICOLOGICAL METHODS
0
JOURNAL OF PHARMACOLOGICAL SCIENCES
0
JOURNAL OF PHARMACY AND PHARMACOLOGY
18
NAUNYN-SCHMIEDEBERGS ARCHIVES OF PHARMACOLOGY
483
PHARMACOEPIDEMIOLOGY AND DRUG SAFETY
90
PHARMACOGENOMICS & PERSONALIZED MEDICINE
281
PHARMACOLOGY
115
PHARMACOLOGY BIOCHEMISTRY AND BEHAVIOR
0
SKIN PHARMACOLOGY AND PHYSIOLOGY
57
THERAPEUTIC ADVANCES IN DRUG SAFETY
15
THERAPEUTIC DRUG MONITORING
168
INDIAN JOURNAL OF PHARMACEUTICAL EDUCATION AND RESEARCH
19
INDIAN JOURNAL OF PHARMACOLOGY
16
JOURNAL OF APPLIED BIOMEDICINE
44
JOURNAL OF THE AMERICAN PHARMACISTS ASSOCIATION
17
REVISTA BRASILEIRA DE FARMACOGNOSIA-BRAZILIAN JOURNAL OF PHARMACOGNOSY
348
THERAPIE
347
SCIENTIA PHARMACEUTICA
94
ADMET AND DMPK
79
ADVANCED THERAPEUTICS
74
ADVANCES IN PHARMACOLOGY AND PHARMACY
117
ADVANCES IN TRADITIONAL MEDICINE
44
ASIAN JOURNAL OF PHARMACEUTICAL RESEARCH AND HEALTH CARE
14
ASIAN JOURNAL OF PHARMACEUTICS
189
CANADIAN JOURNAL OF HOSPITAL PHARMACY
161
CURRENT DRUG THERAPY
18
EGYPTIAN PHARMACEUTICAL JOURNAL
35
FUTURE JOURNAL OF PHARMACEUTICAL SCIENCES
257
GABI JOURNAL-GENERICS AND BIOSIMILARS INITIATIVE JOURNAL
71
INTERNATIONAL JOURNAL OF PHARMACEUTICAL INVESTIGATION
212
JOURNAL OF ADVANCED PHARMACEUTICAL TECHNOLOGY & RESEARCH
164
JOURNAL OF ANAESTHESIOLOGY CLINICAL PHARMACOLOGY
9
JOURNAL OF PHARMACEUTICAL HEALTH CARE AND SCIENCES
114
JOURNAL OF PHARMACEUTICAL POLICY AND PRACTICE
287
JOURNAL OF PHARMACOLOGY & PHARMACOTHERAPEUTICS
58
JOURNAL OF PHARMACY AND BIOALLIED SCIENCES
39
JOURNAL OF PHARMACY PRACTICE
60
JOURNAL OF RESEARCH IN PHARMACY PRACTICE
40
RESEARCH JOURNAL OF PHARMACOGNOSY
86
PHARMACEUTICAL MEDICINE
76
PHARMACIA
140
PHARMACOECONOMICS-OPEN
217
PHARMACY
160
PHARMACY PRACTICE-GRANADA
16
DARU-JOURNAL OF PHARMACEUTICAL SCIENCES
110
EUROPEAN JOURNAL OF CLINICAL PHARMACOLOGY
472
INVESTIGATIONAL NEW DRUGS
311
JOURNAL OF PHARMACEUTICAL INNOVATION
351
JOURNAL OF PHARMACOKINETICS AND PHARMACODYNAMICS
187
NEUROTHERAPEUTICS
357
PEDIATRIC DRUGS
189
THERAPEUTIC INNOVATION & REGULATORY SCIENCE
331
SCI Abstract
search
ALL
RECOMMENDED
+
Hypoglycaemia in Older Adults with Diabetes: Pathophysiology, Prevention, and Personalized Care in an Aging Population
Managing diabetes in older adults requires balancing long-term glycaemic control with the prevention of hypoglycaemia, to ...
Drugs & Aging
comment
0
thumb_up
0
Reduced-Dose Edoxaban in Patients Aged ≥ 80 Years: A Single-Center Real-World Analysis
Optimal anticoagulation strategies in octogenarians remain controversial owing to age-related risks of thromboembolism and...
Drugs & Aging
comment
0
thumb_up
0
Characteristics of Late-Onset Systemic Lupus Erythematosus: Clinical Manifestations and Diagnostic and Treatment Challenges
Systemic lupus erythematosus (SLE) is widely recognized as a systemic autoimmune disease predominantly affecting young wom...
Drugs & Aging
comment
0
thumb_up
0
Anesthesia Considerations in Older Adults Undergoing Emergency Mechanical Thrombectomy for Acute Ischaemic Stroke
Acute ischemic stroke (AIS) is a significant cause of morbidity and mortality among older adults, with its incidence, seve...
Drugs & Aging
comment
0
thumb_up
0
Association of Antipsychotic Dose with Surrogate Efficacy and Safety Outcomes in Hospitalized Older Adults: A Retrospective Cohort Study
Antipsychotics are frequently used in hospitalized older adults to manage agitation and delirium, despite limited supporti...
Drugs & Aging
comment
0
thumb_up
0
Sarcopenia and Cachexia in Older Patients with Cancer: Pathophysiology, Diagnosis, Impact on Outcomes, and Management Strategies
Sarcopenia and cachexia are two common and overlapping but distinct muscle wasting syndromes that predict adverse outcomes...
Drugs & Aging
comment
0
thumb_up
0
Frailty-Informed Pain Management: A Clinical Imperative Beyond Chronological Age
Chronic pain is a prevalent and disabling condition whose management becomes increasingly complex with aging and frailty. ...
Drugs & Aging
comment
0
thumb_up
0
Anti-hypertensive Drug Classes and Risk of New-Onset Atrial Fibrillation in Healthy Older Adults: A Post Hoc Analysis of ASPREE Trial
Prior studies have suggested potential benefits of antihypertensive medication (AHM) in preventing atrial fibrillation. It...
Drugs & Aging
comment
0
thumb_up
0
Patterns and Characteristics of Gabapentin Use Among Medicare Beneficiaries
Gabapentin is increasingly prescribed to older adults, yet prescribing patterns and characteristics of gabapentin initiato...
Drugs & Aging
comment
0
thumb_up
0
Effectiveness of Patient-Directed Education to Sustain Deprescribing: A Pragmatic Trial
More than one in three older adults use potentially inappropriate medications (PIMs), and those with chronic conditions ar...
Drugs & Aging
comment
0
thumb_up
0
Trends and Guideline Adherence in Gabapentinoid Use among Geriatric Outpatients: A Retrospective Cross-Sectional Study at a Falls Clinic
With pain treatment shifting away from opioids, alternative analgesics—such as gabapentinoids—are increasingly...
Drugs & Aging
comment
0
thumb_up
0
Inclusion of Older Adults in Early-Phase Cancer Clinical Trials: Safety, Efficacy and a Way Forward
Early-phase clinical trials (EPCTs) are critical for evaluating the safety, tolerability, efficacy and pharmacokinetics of...
Drugs & Aging
comment
0
thumb_up
0
Initial Real-World Evidence for Lecanemab in the United States
Lecanemab is the first anti-amyloid monoclonal antibody with full approval in the US for the treatment of early Alzheimer&...
Drugs & Aging
comment
0
thumb_up
0
Effectiveness of a Collaborative Deprescribing Intervention of Proton Pump Inhibitors on Community-Dwelling Older Adults: The C-SENIoR Pragmatic Non-randomised Controlled Trial
Proton pump inhibitors (PPIs) are commonly used and often prescribed inappropriately, which increases the risk of adverse ...
Drugs & Aging
comment
0
thumb_up
0
Cross-Sectional Study on Factors Associated with Hyperpolypharmacy and Medication Adherence in Older Adults with Multimorbidity and Polypharmacy
Knowledge of multiple medication use and medication adherence is important to assess treatment effectiveness and prevent w...
Drugs & Aging
comment
0
thumb_up
0
Perioperative Anticholinergic Medication Use and Incident Dementia among Older Surgical Patients: a Retrospective Cohort Study using Real-World Data
Inpatient anticholinergic medications have been associated with a higher likelihood of postoperative delirium in older adu...
Drugs & Aging
comment
0
thumb_up
0
Safety Study of Anticoagulants for Preventing Deep Venous Thrombosis after Intracerebral Hemorrhage: Data from the Chinese Stroke Center Alliance
The use of anticoagulants to prevent deep vein thrombosis (DVT) after intracerebral hemorrhage (ICH) remains controversial...
Drugs & Aging
comment
0
thumb_up
0
Antidepressants to Manage Osteoarthritic Pain: The Value of Pain Phenotyping
Osteoarthritis (OA) is a chronic condition in which pain significantly affects quality of life, often leading to reduced p...
Drugs & Aging
comment
0
thumb_up
0
Unveiling Cognitive Impairment in Older Adults with Cancer on Systemic Anticancer Therapy: A Comprehensive Review
Cancer-related cognitive impairment significantly affects cancer management and decision-making. While the exact mechanism...
Drugs & Aging
comment
0
thumb_up
0
Factors Influencing General Practitioners’ Deprescribing Decisions for Older Adults, with Insights into Frailty: a Qualitative Study in Greek Primary Care
Polypharmacy is increasing among older individuals worldwide. Deprescribing has been suggested as a strategy to reduce pol...
Drugs & Aging
comment
0
thumb_up
0
Safety and Efficacy of Sodium-Glucose Cotransporter 2 Inhibitors in Older Adults with Variable Disease States: A Meta-analysis of Large Placebo-Controlled Trials
Recent guidelines recommend the use of sodium-glucose cotransporter 2 (SGLT-2) inhibitors (SGLT2i) in patients suffering f...
Drugs & Aging
comment
0
thumb_up
0
Dementia Medications and Their Association with Pain Medication Use in Medicare Beneficiaries with Alzheimer’s Disease/Alzheimer’s Disease-Related Dementias and Chronic Pain
Chronic pain is prevalent among older adults with Alzheimer’s disease (AD) and Alzheimer’s disease-related dem...
Drugs & Aging
comment
0
thumb_up
0
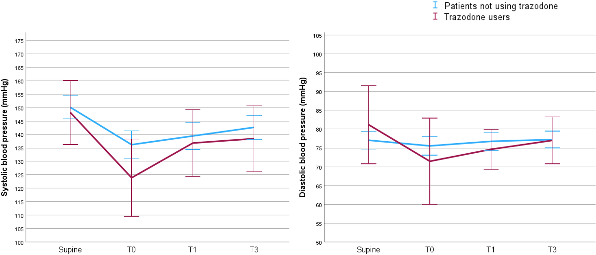
Trazodone and Risk of Orthostatic Hypotension, Syncope and Falls in Geriatric Outpatients with Hypertension
In older adults, trazodone is frequently prescribed for anxiety and insomnia owing to its perceived greater tolerability i...
Drugs & Aging
comment
0
thumb_up
0
Medicine Optimisation and Deprescribing Intervention Outcomes for Older People with Dementia or Mild Cognitive Impairment: A Systematic Review
Polypharmacy is common amongst older people with dementia or mild cognitive impairment (MCI), increasing the risk of medic...
Drugs & Aging
comment
0
thumb_up
0
Impact of Disease-Modifying Antirheumatic Drugs on Cognitive Function in Older Adults with Rheumatoid Arthritis
Cognitive impairment poses significant challenges for aging populations. Systemic inflammation, a hallmark of rheumatoid a...
Drugs & Aging
comment
0
thumb_up
0
Prescription and Non-prescription Medication Pill Burdens and Their Associations with Health-Related Quality of Life in Older Adults: A Cross-Sectional Study
Polypharmacy is associated with reduced health-related quality of life (HRQoL). This study explores the association betwee...
Drugs & Aging
comment
0
thumb_up
0
International Deprescribing Guidelines Did Not Impact Actual Practice in Deprescribing of Potentially Inappropriate Medications for Nursing Home Residents: An Interrupted Time Series Analysis
Deprescribing guidelines reduce the use of potentially inappropriate medications (PIMs) in trial settings; however, their ...
Drugs & Aging
comment
0
thumb_up
0
Symptoms of Orthostatic Hypotension and Drugs Affecting Autonomic Function are Associated with the Onset of Frailty in Community-Dwelling Persons Aged 80 Years and Above: A Prospective Observational Study
Both autonomic dysfunction and frailty are common and complex geriatric syndromes with similar negative health outcomes. B...
Drugs & Aging
comment
0
thumb_up
0
Benefit–Risk Assessment of Rivaroxaban in Older Patients With Nonvalvular Atrial Fibrillation or Venous Thromboembolism
Both bleeding and adverse ischemic events increase with age, compounding the benefit–risk balance of anticoagulants ...
Drugs & Aging
comment
0
thumb_up
0
Detection of Potential Prescribing Cascades in Multimorbid Older Patients Hospitalised with Acute Illness—An Observational Prospective Prevalence Study
Prescribing cascades occur when a new drug is prescribed to treat an adverse drug event caused by an existing medication, ...
Drugs & Aging
comment
0
thumb_up
0
Load More
Modal title
×
Modal title
×
Share
Login
Global News and Health Forum
Join Now!
Member Login
Remember me
Forgot password?
Or using
Linkedin